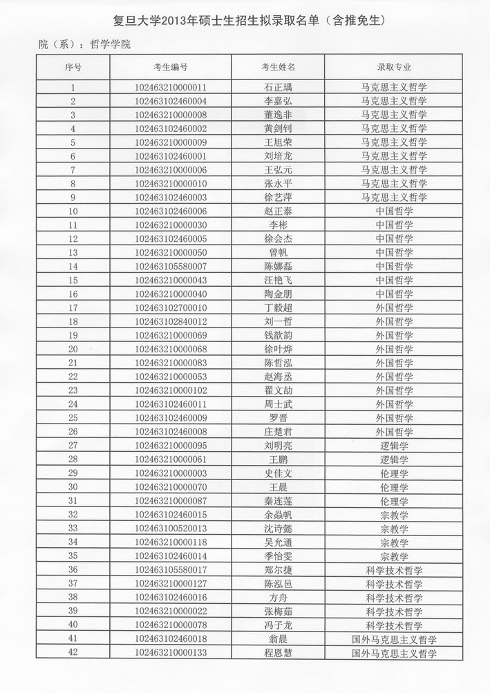
【公示】复旦大学哲学学院2013年硕士研究生拟录取名单
杰出系友论坛——马弘:对上海国际金融中心建设的哲学反思
【公示】关于哲学学院2013年度上海市和复旦大学优秀研究生毕业生...
分析哲学读书会---信念的组合性与信念倾向论
2013年哲学学院本科生转专业面试通知
复旦大学哲学学院2013年博士研究生入学考试复试实施细则
纶音妙语 熠熠哲思——记哲学学院第十四届Sophia人文节“人间哲话...
哲学学院导师交流会顺利举行
复旦大学哲学学院2013年硕士研究生入学考试复试实施细则及具体时...
关于选送港澳台地区高校2013-14学年秋季学期交换生申请
分析哲学读书会---事实概念的新刻画
2012—2013学年第二学期哲学学院助管招聘
2012—2013学年第二学期哲学学院助教招聘
哲学学院本科生2012-2013第二学期课程表